Routh-Hurwitz Criterion
Routh-Hurwitz Stability Criterion¶
The Routh-Hurwitz Stability Criterion is a mathematical technique employed to ascertain whether a polynomial's roots lie on the left-hand side of the s-plane. It is a valuable tool as it allows one to assess the stability of a system without finding the roots of the characteristic equation.

Routh-Hurwitz Stability Criterion PDF
Conditions for stability using Routh-Hurwitz criterion¶
There are certain necessary and sufficient conditions to determine the stability of a system using the Routh-Hurwitz criterion. These are outlined below:
Necessary Condition for Routh-Hurwitz Stability¶
All the coefficients of the characteristic polynomial must be positive. If any coefficient is zero or negative, the system is potentially unstable.
$$1+K(s)G(s)H(s)=\Delta{}(s)=a_0s^n+a_1s^{n-1}+a_2s^{n-2}+...+a_{n-1}s^1+a_ns^0=0
$$
However, in cases where all coefficients are indeed positive, it does not guarantee the system's stability. There may still exist roots in the right half of the complex plane or on the imaginary axis.
Necessary and sufficient condition using Routh table¶
The necessary and sufficient condition for establishing stability using Routh-Hurwitz criteria is that every element must have a positive value or have no sign change. When this condition is not met, the system is unstable. Each sign change indicates a pair of roots in the right half plane, suggesting instability.
Routh Table¶
In the construction of the Routh array, the coefficients of the characteristic equation are organized into two rows. This arrangement starts with the coefficients of sn and sn-1 in that order, and then continues with the even-numbered and odd-numbered coefficients, as illustrated below:
$$\Delta{}(s)=a_0s^n+a_1s^{n-1}+a_2s^{n-2}+...+a_{n-1}s^1+a_ns^0=0
$$
| $$s^n$$ | $$a_0$$ | $$a_2$$ | $$a_4$$ | $$a_6$$ | $$\dots{}$$ |
|---|---|---|---|---|---|
| $$s^{n-1}$$ | $$a_1$$ | $$a_3$$ | $$a_5$$ | $$a_7$$ | $$\dots{}$$ |
The following rows are added subsequently to complete the Routh array:
| $$s^{n-2}$$ | $$b_1=\cfrac{a_1a_2-a_0a_3}{a_1}$$ | $$b_2=\cfrac{a_1a_4-a_0a_5}{a_1}$$ | $$b_3=\cfrac{a_1a_6-a_0a_7}{a_1}$$ | $$\dots{}$$ |
|---|---|---|---|---|
| $$s^{n-3}$$ | $$c_1=\cfrac{b_1a_3-b_2a_1}{b_1}$$ | $$c_2=\cfrac{b_1a_5-b_3a_1}{b_1}$$ | $$\dots{}$$ | $$\dots{}$$ |
| $$\dots{}$$ | $$\dots{}$$ | $$\dots{}$$ | $$\dots{}$$ | $$\dots{}$$ |
| $$s^0$$ | $$a_n$$ |
This process continues until there are no more ci elements remaining. Subsequently, the remaining rows are constructed in a similar manner, extending down to the s0-row. The entire array takes on a triangular shape, with the noteworthy observation that both the s1-row and the s0-row consist of just a single term. It's important to emphasize that when constructing the Routh array, any absent terms are treated as zeroes. Additionally, throughout the process, you have the flexibility to multiply or divide all the elements in any row by a positive constant, a step taken to streamline the computational effort. This adjustment, however, does not alter the signs of the elements in the first column.
Routh-Hurwitz examples¶
Some basic examples are shown :
Stable system¶
Let's consider a fourth-order system with the characteristic equation :
$$s^4+10s^3+18s^2+16s+5=0$$
| $$s^4$$ | $$1$$ | $$18$$ | $$5$$ |
|---|---|---|---|
| $$s^3$$ | $$\cancel{10}5$$ | $$\cancel{16}8$$ | |
| $$s^2$$ | $$\cfrac{5\cdot{}18-1\cdot{}8}{5}=\cfrac{82}{5}$$ | $$\cfrac{5\cdot{}5-1\cdot{}0}{5}=5$$ | |
| $$s^1$$ | $$\cfrac{(82/5)\cdot{}16-10\cdot{}5}{(82/5)}=\cfrac{531}{82}$$ | ||
| $$s^0$$ | $$\cfrac{(531/41)\cdot{}5-(82/5)\cdot{}0}{(531/41)}=5$$ |
The elements of the first column of the table mentioned above are all positive, and hence the system is stable.
Unstable system¶
$$3s^4+20s^3+5s^2+5s+2=0$$
| $$s^4$$ | $$3$$ | $$5$$ | $$2$$ |
|---|---|---|---|
| $$s^3$$ | $$\cancel{20}4$$ | $$\cancel{5}1$$ | |
| $$s^2$$ | $$\cfrac{4\cdot{}5-3\cdot{}1}{4}=\cfrac{17}{4}$$ | $$\cfrac{4\cdot{}2-3\cdot{}0}{4}=2$$ | |
| $$s^1$$ | $$\cfrac{(17/4)\cdot{}1-4\cdot{}2}{17/4}=-\cfrac{15}{17}$$ | ||
| $$s^0$$ | $$2$$ |
Analyzing the first column of the Routh array reveals two sign changes, one from 17/4 to -15/17 and another from -15/17 to 2. Consequently, the system being examined is unstable, featuring two poles situated in the right half of the s-plane. It's important to note that the Routh stability criterion exclusively provides the count of roots within the right half of the s-plane. This method does not furnish details about the actual root values or differentiate between real and complex roots.
Special cases of Routh-Hurwitz criteria¶
The above procedures fail in some cases listed below :
- All elements of a row are zero
- The first element of a row is zero
All elements of a row are zero¶
When a row with all zero elements is encountered, the subsequent row becomes undefined, halting the Routh array formation prematurely.
An all-zero row signifies that the given characteristic polynomial includes an even polynomial as a factor. An even polynomial is characterized by having terms where the exponents of "s" are either even integers or zero. This even polynomial factor is called the auxiliary polynomial.
Formation of Auxiliary Polynomial - Let's call the row just above the all-zero polynomial the auxiliary row. The auxiliary polynomial A(s) coefficients are the elements of this auxiliary row. The order of the polynomial is the exponent of this critical row.
Once the A(s) is found, the stability may be analyzed in either of the two ways:
- A(s) is differentiated with respect to "s" and the all-zero row is replaced with the coefficients of dA(s)/ds. The construction of the array then continues as usual.
- The roots of A(s) are also the roots of the given characteristic equation, which must be tested separately (Using the Routh-Hurwitz Criterion or other methods). The characteristic equation is divided by A(s) to find the other factor, B(s). Now, the Routh-Hurwitz criterion is applied to B(s).
Example 1¶
Let's consider a sixth order characteristic equation:
$$\Delta{}(s)=s^6+2s^5+13s^4+24s^3+39s^2+54s+27$$
| $$s^6$$ | $$1$$ | $$13$$ | $$39$$ | $$27$$ |
|---|---|---|---|---|
| $$s^5$$ | $$2$$ | $$24$$ | $$54$$ | |
| $$s^4$$ | $$1$$ | $$12$$ | $$27$$ | |
| $$s^3$$ | $$0$$ | $$0$$ |
The auxiliary polynomial
$$A(s)=s^4+12s^2+27$$
The derivative of A(s) with respect to "s" is :
$$\cfrac{dA(s)}{d(s)}=4s^3+24s$$
The zeros in the s3-row are now replaced by the coefficients 4 and 24. The Routh array then becomes :
| $$s^6$$ | $$1$$ | $$13$$ | $$39$$ | $$27$$ |
|---|---|---|---|---|
| $$s^5$$ | $$2$$ | $$24$$ | $$54$$ | |
| $$s^4$$ | $$1$$ | $$12$$ | $$27$$ | |
| $$s^3$$ | $$4$$ | $$24$$ | ||
| $$s^2$$ | $$6$$ | $$27$$ | ||
| $$s^1$$ | $$6$$ | |||
| $$s^1$$ | $$27$$ |
Since there are no sign changes in the first column of the routh array, the polynomial Δ(s) does not have any root in the right half of the s-plane. However, we know that the roots of A(s) are the roots of Δ(s), so let's see the roots of A(s):
$$A(s)=s^4+12s^2+27=0$$
The roots of A(s) are s=+j√3,-j√3,+j3,-j3, which are also the roots of Δ(s). Since they lie on the imaginary axis, the system is marginally stable and will oscillate.
Example 2¶
Lets take the following example :
$$\Delta{}(s)=s^5+2s^4+6s^3+26s^2+5s+80=0$$
| $$s^5$$ | $$1$$ | $$6$$ | $$5$$ |
|---|---|---|---|
| $$s^4$$ | $$\cancel{2}1$$ | $$\cancel{26}13$$ | $$\cancel{80}40$$ |
| $$s^3$$ | $$\cancel{-7}-1$$ | $$\cancel{-35}-5$$ | |
| $$s^2$$ | $$\cancel{8}1$$ | $$\cancel{40}5$$ | |
| $$s^1$$ | $$0$$ |
s1-row is all zero row, so s2-row becomes the auxiliary row. So, the auxiliary equation A(s) is :
$$A(s)=s^2+5$$
Roots of the A(s)=0 are s=+j√5 and s=-j√5.
A(s) is one of the factors of the characteristic equation. To find the other factor, Δ(s) should be divided by A(s).
$$\cfrac{\Delta{}(s)}{A(s)}=s^3+2s^2+s+16$$
For the system to be stable, the roots of the above equation should not lie on the right half plane. That can be verified using Routh Hurwitz criteria:
| $$s^3$$ | $$1$$ | $$1$$ |
|---|---|---|
| $$s^2$$ | $$\cancel{2}1$$ | $$\cancel{16}8$$ |
| $$s^1$$ | $$-7$$ | |
| $$s^0$$ | $$8$$ |
Two sign changes in the first column indicate the presence of two roots in the right-half plane. Therefore, the system is unstable.
The first element of a row is zero¶
If the first element of a row is zero, the terms in the subsequent row become infinite, making it impossible to continue forming the array. To solve this problem, we replace the zero with a small positive number ε and construct the array. The limit ε→0 is then applied to identify changes in signs in the first column, providing insights into the number of roots in the right half-plane.
Example 1¶
Let's consider a fifth-order polynomial :
$$s^5+3s^4+2s^3+6s^2+8s+12=0$$
| $$s^5$$ | $$1$$ | $$2$$ | $$8$$ |
|---|---|---|---|
| $$s^4$$ | $$\cancel{3}1$$ | $$\cancel{6}2$$ | $$\cancel{12}4$$ |
| $$s^3$$ | $$\cancel{0}\epsilon{}$$ | $$4$$ | |
| $$s^2$$ | $$\cfrac{2\epsilon{}-4}{\epsilon{}}$$ | $$4$$ | |
| $$s^1$$ | $$4-\cfrac{4\epsilon{}^2}{2\epsilon{}-4}$$ | ||
| $$s^0$$ | $$4$$ |
The first element in the s2-row is (2ε-4)/ε, which has a negative sign as ε→0. Here, the magnitude can be ignored. The first term of s1-row is (4-4ε2/(2ε-4)), which has a limiting value of +4 as ε→0. If the first column is analyzed again, it can be observed that there are two sign changes. The first sign change is from s3 to s2, and the second is from s2 to s1. This suggests that two poles are in the right half plane (the system is unstable).
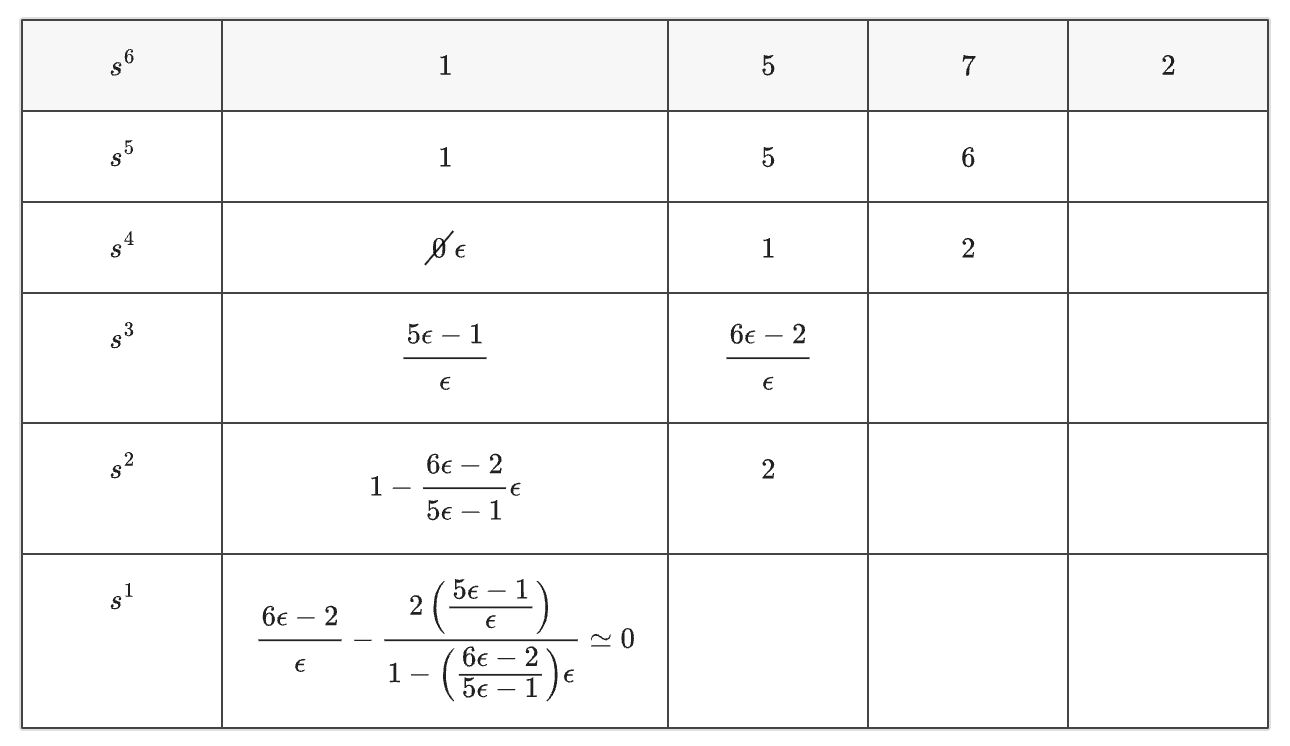
Example 2¶
Let's consider a sixth-order polynomial :
$$\Delta{}(s)=s^6+s^5+5s^4+5s^3+7s^2+6s+2$$
| $$s^6$$ | $$1$$ | $$5$$ | $$7$$ | $$2$$ |
|---|---|---|---|---|
| $$s^5$$ | $$1$$ | $$5$$ | $$6$$ | |
| $$s^4$$ | $$\cancel{0}\epsilon{}$$ | $$1$$ | $$2$$ | |
| $$s^3$$ | $$\cfrac{5\epsilon{}-1}{\epsilon{}}$$ | $$\cfrac{6\epsilon{}-2}{\epsilon{}}$$ | ||
| $$s^2$$ | $$1-\cfrac{6\epsilon{}-2}{5\epsilon{}-1}\epsilon{}$$ | $$2$$ | ||
| $$s^1$$ | $$\cfrac{6\epsilon{}-2}{\epsilon{}}-\cfrac{2\left(\cfrac{5\epsilon{}-1}{\epsilon{}}\right)}{1-\left(\cfrac{6\epsilon{}-2}{5\epsilon{}-1}\right)\epsilon{}}\simeq{}0$$ |
As ε→0, the elements of the s1-row approach zero, suggesting the presence of roots on the imaginary axis in the s-plane. To confirm this, the auxiliary polynomial must be analyzed. If no imaginary-axis roots are present, the zero row is replaced with the coefficients of the derivative of the auxiliary polynomial. However, if imaginary-axis roots are identified, the original polynomial is divided by the auxiliary polynomial, and the stability test is conducted on the resulting remainder polynomial.
In this example, the auxiliary polynomial is (let ε→0 in s2-row):
$$A(s)=s^2+2=0$$
The above auxiliary equation has two roots, +j√2ω and -j√2ω, on the imaginary axis. Dividing the original 6th order polynomial Δ(s) with A(s), we get:
$$\cfrac{\Delta{}(s)}{A(s)}=s^4+s^3+3s^2+3s+1$$
The Routh array for this polynomial is :
| $$s^4$$ | $$1$$ | $$3$$ | $$1$$ |
|---|---|---|---|
| $$s^3$$ | $$1$$ | $$3$$ | |
| $$s^2$$ | $$\cancel{0}\epsilon{}$$ | $$1$$ | |
| $$s^1$$ | $$\cfrac{3\epsilon{}-1}{\epsilon{}}$$ | ||
| $$s^0$$ | $$1$$ |
As ε→0+, there are two sign changes in the first column of the array. This indicates that there are two roots in the right half of the s-plane. The original polynomial Δ(s), therefore, has two roots in the right-half plane and two roots on the imaginary axis.
Advantages of Routh-Hurwitz criteria¶
- The system's stability can be determined without finding the roots of the characteristic equation.
- The relative stability of the system can be determined easily.
- This method also allows one to determine where the root locus intersects the imaginary axis.
Limitations of Routh-Hurwitz Criterion¶
- This is only applicable to linear systems.
- It does not compute the exact location of the poles on either the right or left half of the S-plane.